Some Interesting and
Fun Pictures


Home / Schedule / Academics / Standards / Special / Links

Can you find the hidden mountain lion?

360° Sky View
5500 GALAXIES

(Check them out!)

Here's a useful little diagram for the physical science of transverse waves...

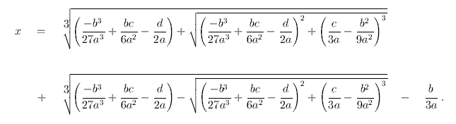
Every school kid knows the quadratic formula,
but how many of you know the cubic formula?


When they say 9/10 of an iceberg is under water, they're not joking...

Amazing, huh?

Here are four views of man-made flying saucer designs...Searl's I think...

Which way does the wheel turn?

A different kind of family tree...


See how many famous people you can identify?

Have you ever seen a fire rainbow?

These are two of my fractal posters still
sold at stores like Spencer's Gifts...



A dog nearly as big as a horse? This mastiff is close...

Yours truly in action...AP Calc...2008...Sun Valley, CA...
 


Say what?!


A friend of mine is a professional guitarist...these are his "kids"...

 

Home / Schedule / Academics / Standards / Special / Links