2017 AP Physics Test #1

Questions and Solutions

Home / Schedule / Academics / Standards / Special / Links

AP Physics Test1.1

AP Physics Test1.2

AP Physics Test1.3

AP Physics Test1.4

AP Physics Test1.5

AP Physics Test1.6

AP Physics Test1.7

AP Physics Test1.8

AP Physics Test1.9

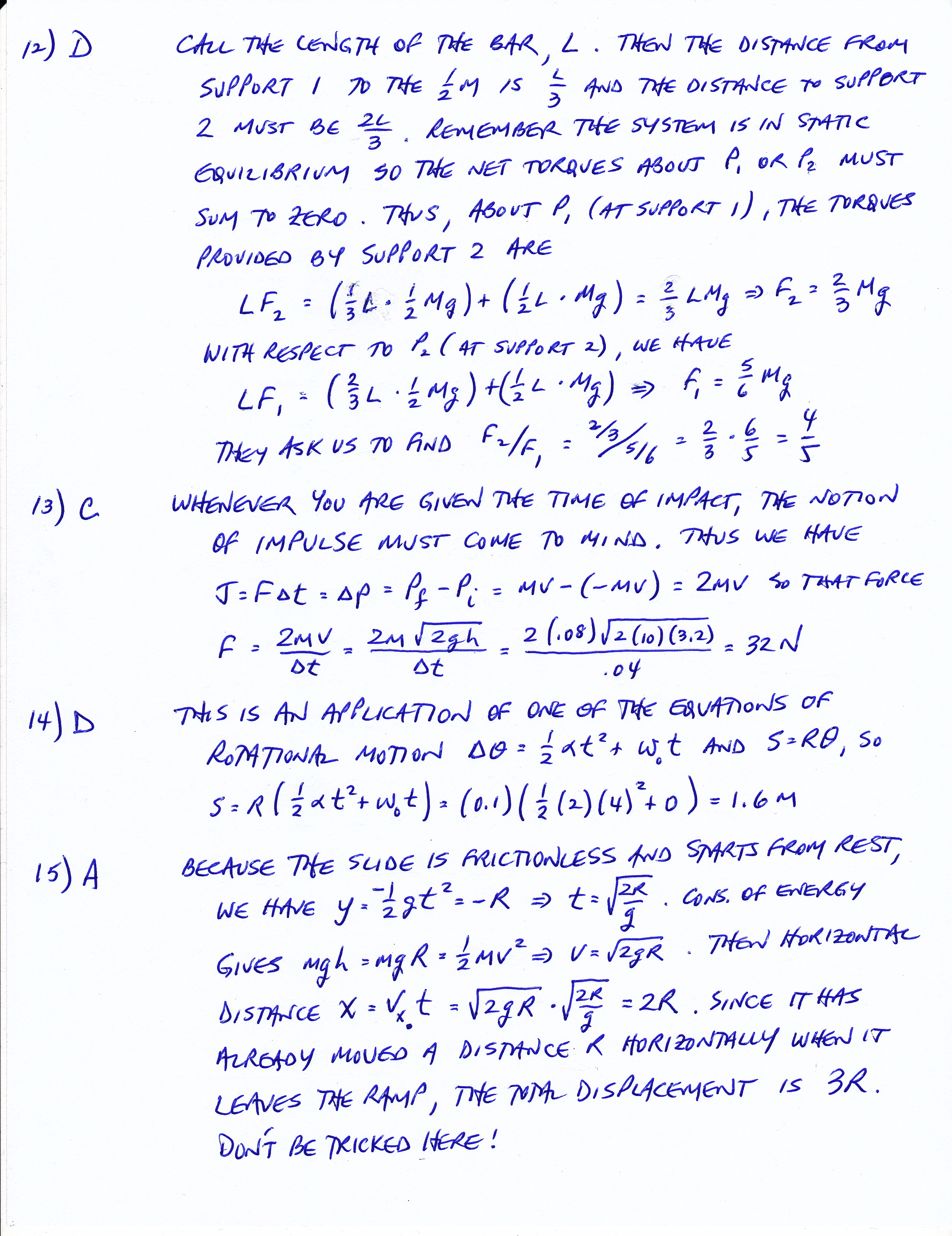
AP Physics Test1.10

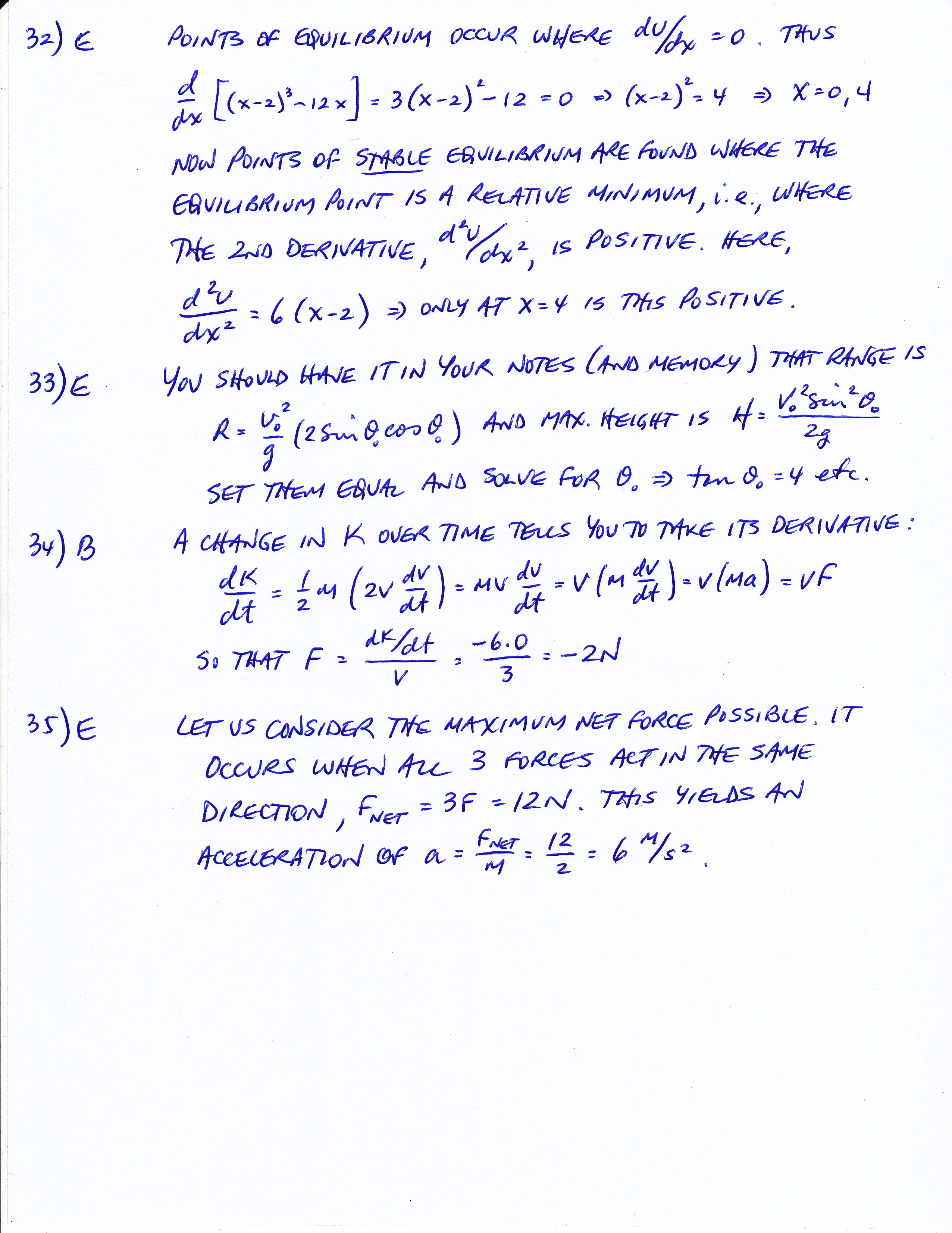
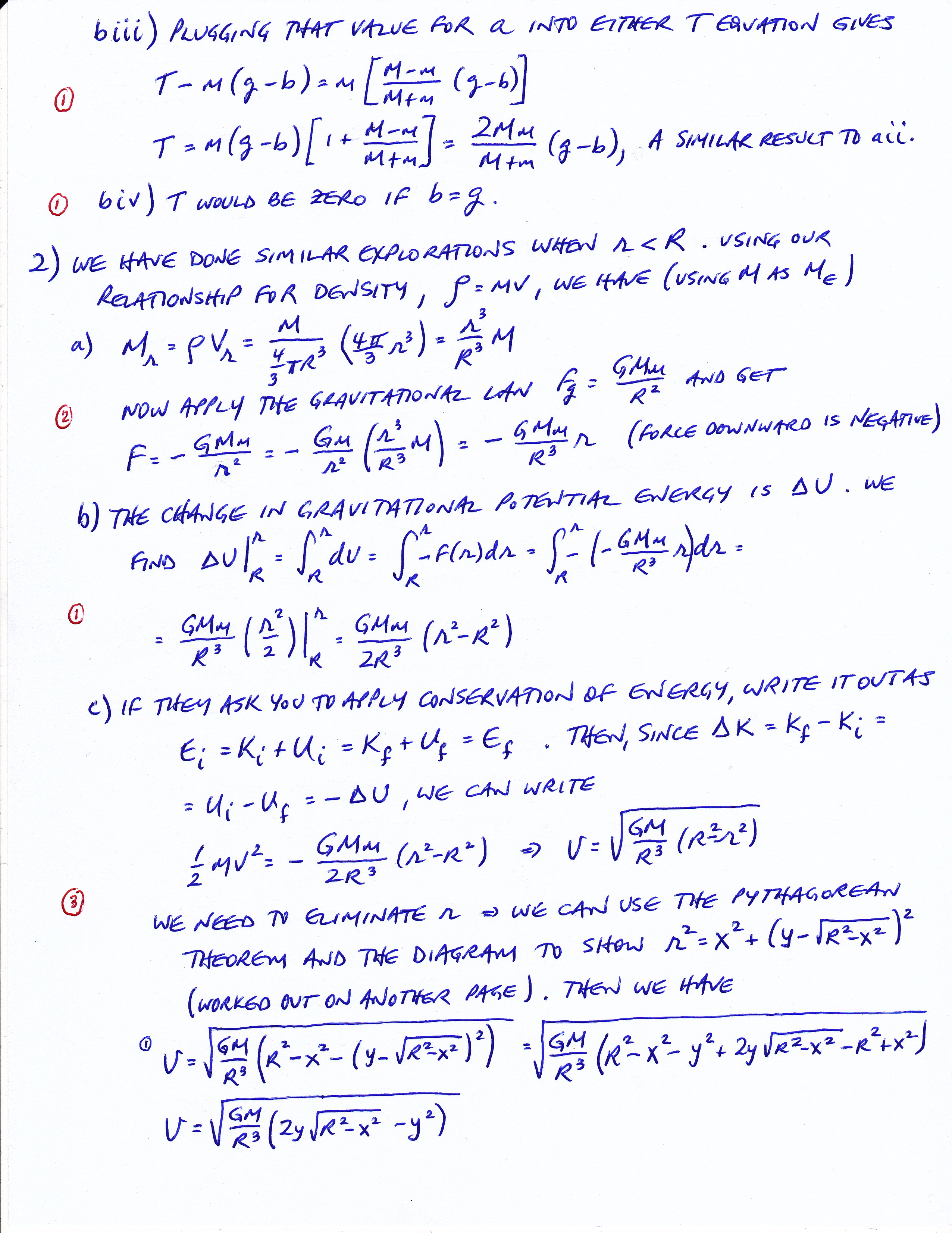
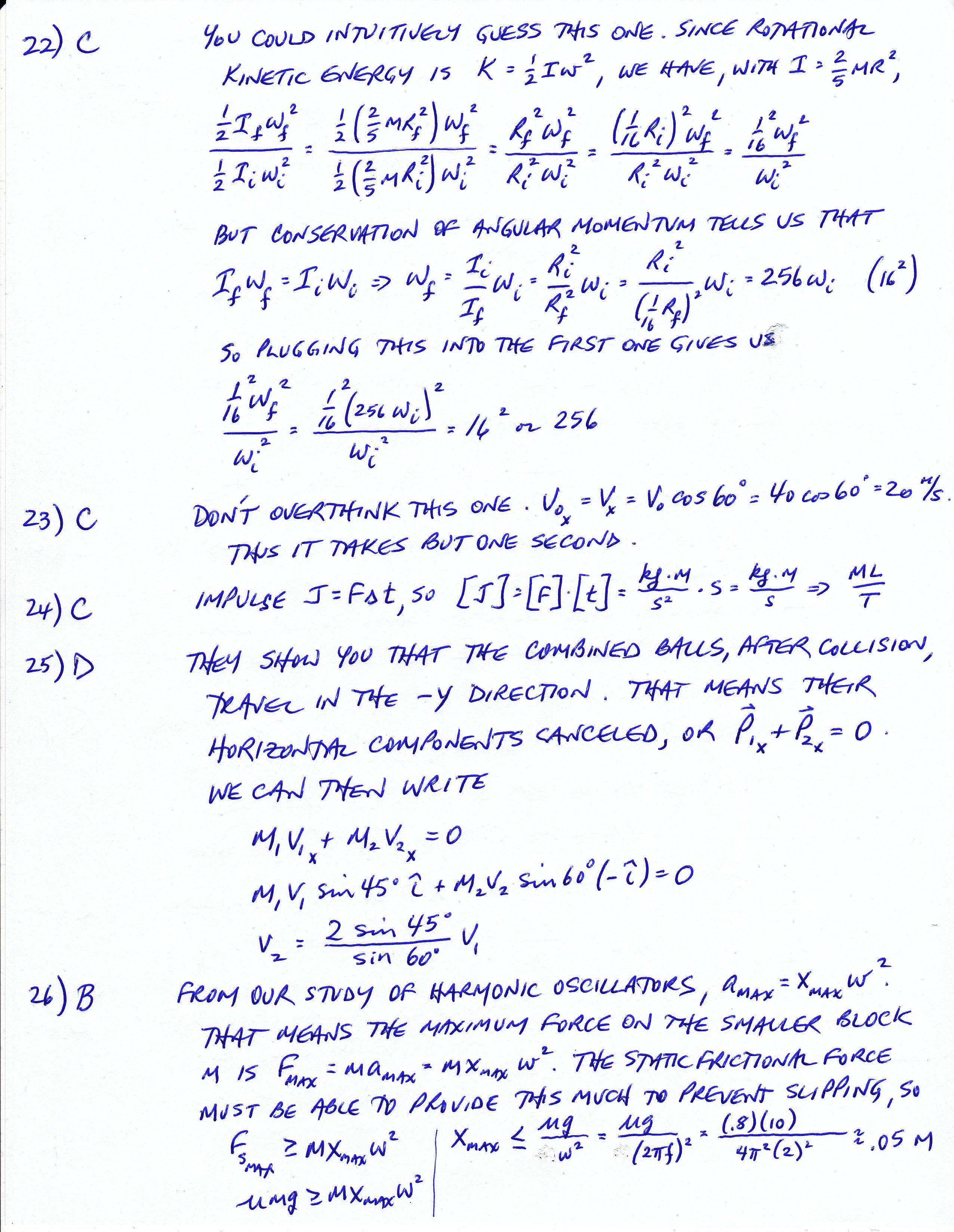
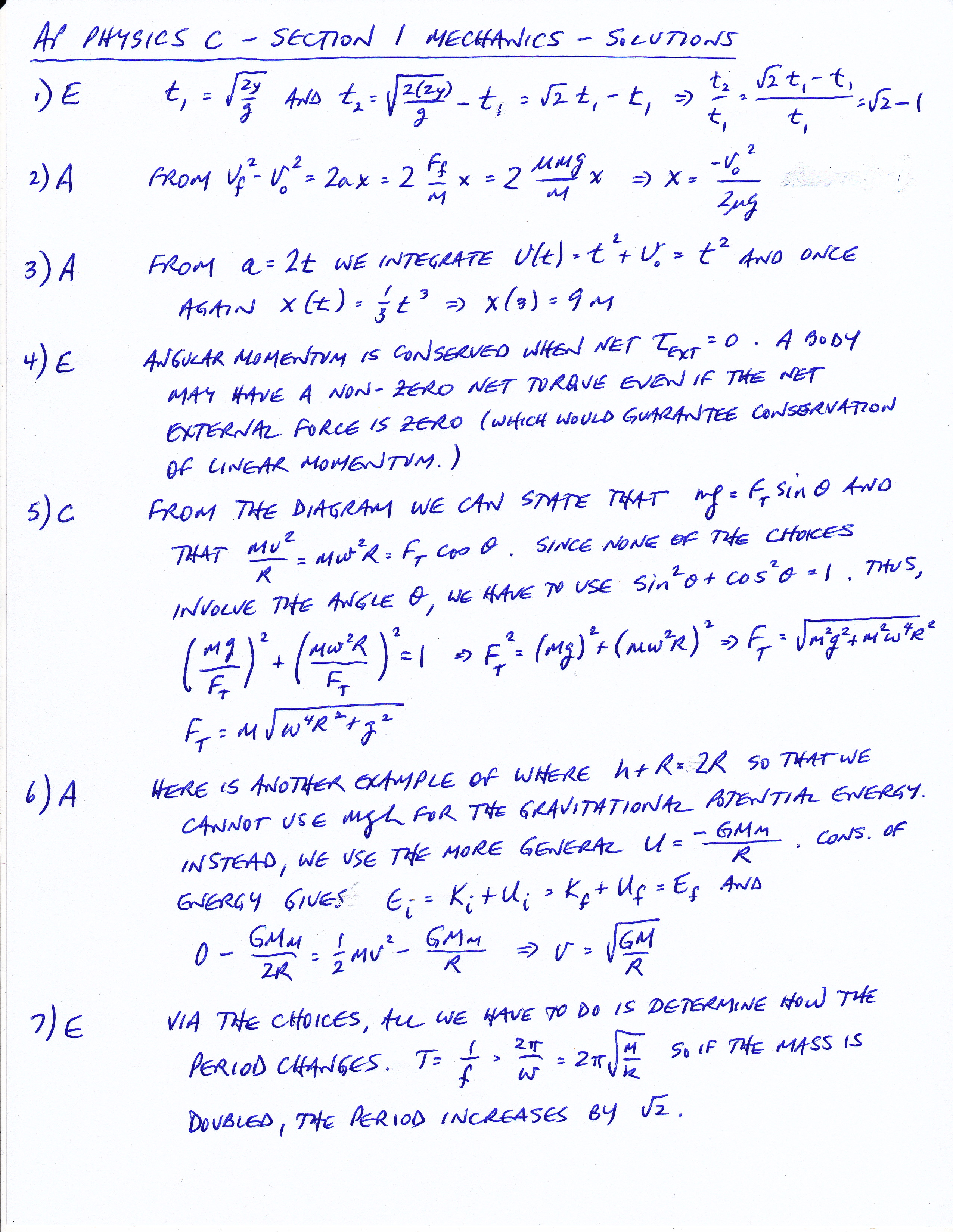
AP Physics Test1soln.1

AP Physics Test1soln.2

AP Physics Test1soln.3

AP Physics Test1soln.4

AP Physics Test1soln.5

AP Physics Test1soln.6

AP Physics Test1soln.7

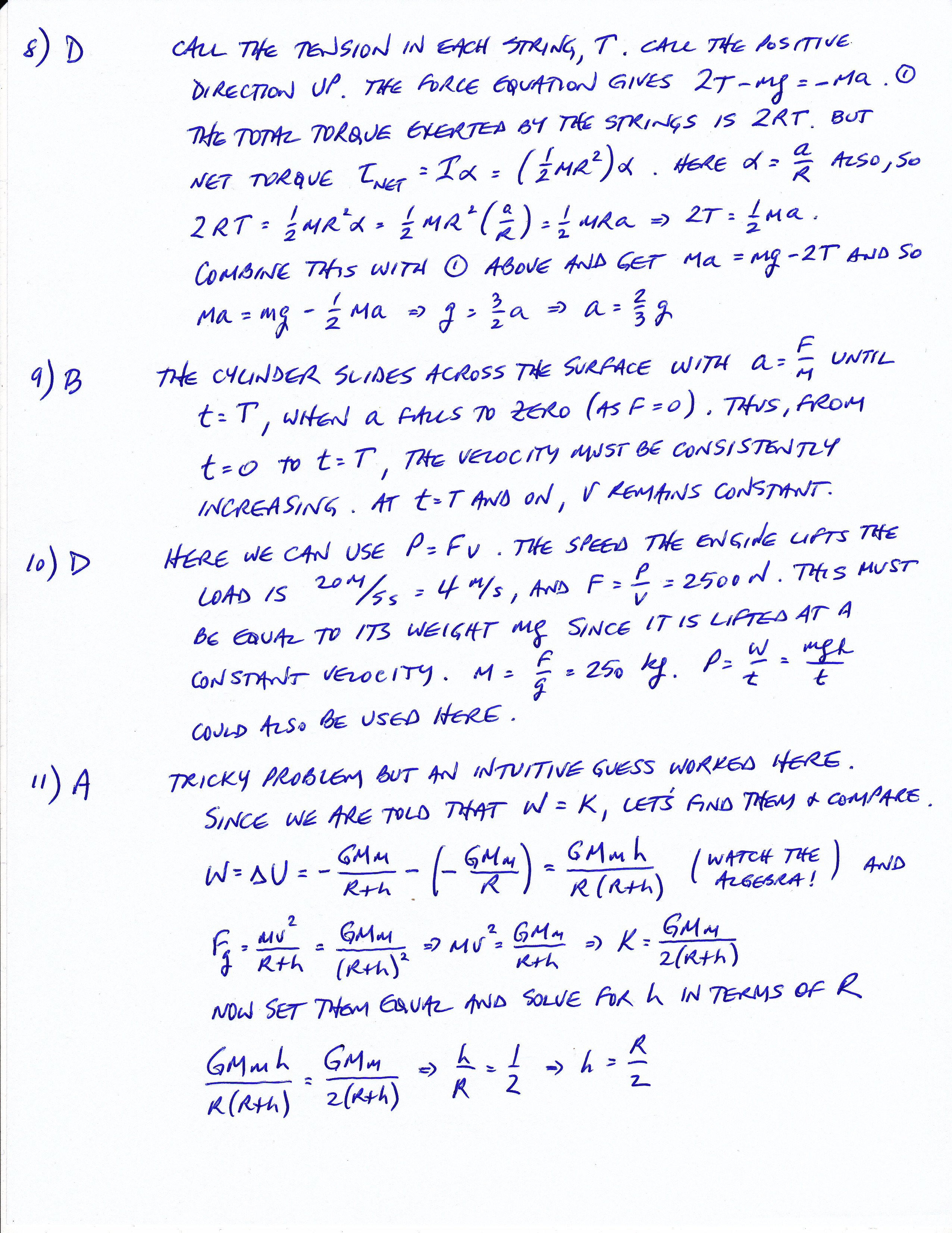
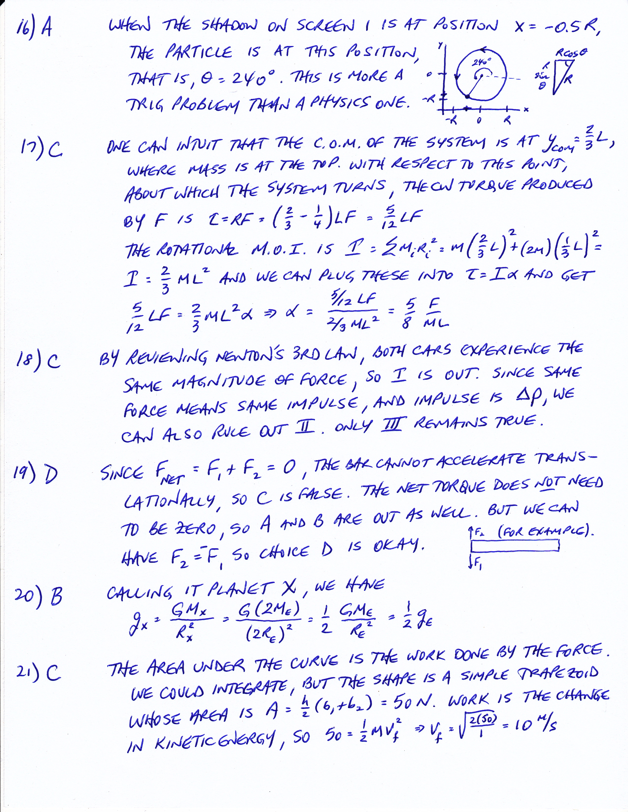
AP Physics Test1soln.8

AP Physics Test1soln.9

AP Physics Test1soln.10